Soccer is the most popular sport in the world, with an estimated 240 million registered players worldwide, and there is undoubtedly a lot of data present (Terrell, 2022).
Sports forecasting has been dominated by traditional statistical methods, but machine learning methods have emerged. Recent models used for sports forecasting are neural networks (Horvat & Job, 2020), such as Hubáček et. al. who use a convolutional neural network on an NBA dataset (Hubáček et al., 2019), although other researchers use regression models (e.g. linear, logistic), or support vector machines (Wilkens, 2021).
We will be using the European Soccer Database by Hugo Mathien from Kaggle. We are interested in the following tables:
The sports betting industry is valued at 81 billion US dollars in the year 2022, and it is projected to double that by 2030. A critical piece of this industry is the spreads and odds that are bet on. For example, if the sportsbook which controls the betting odds expects Team A to beat team B by 3.5 points, if you bet on team A and they win by 4+ points then you win, else you lose, even if they win by 2 points. These spreads are essential to making money on betting, so we will use machine learning to create our own soccer game spreads, and identify which teams are overvalued and undervalued. As a first step, we will train ML models to predict match outcomes based on various feature sets.
Disclaimer: Online sports betting is illegal in the state of Georgia, and betting odds data are gathered from an open source database on Kaggle.
We created four sets of features to train our various classifier models with:
To create these features, we had to generate features to encode match-ups between two teams. The Match data table contains betting odds from 10 providers, which already encode a match up by providing the odds of home team win, away team win, or draw For the remaining features, we computed match-up metrics using team-based and player-based ratings from the FIFA video game series. For example, for team attributes from the FIFA video game series sourced from the Team_attributes table, we computed the difference in home team metric with away team metric, and performed various aggregations (min, max, mean, median) on the features before associating them with their matches in the Match table. An example of one attribute we computed is average overall player FIFA rating per team. We then take the difference in average overall player FIFA rating from the home team and away team, and use that as the training feature.
To try to achieve stronger results, we wanted to combine these seperate sets of features along with new features like previous match results to create a more diverse and robust dataset. This was challenging due to the nature our dataset and the multiple tables that contained the relevant data. To sovle this problem, we created a class called Soccer_Database to abstract out the tedious feature extraction and allow us to simply select the desired features and get a 2D numpy array.
The binary classification problem used “home team wins” as the positive label (1), and “home team draw/lose” as the negative label (0). Our dataset contained home team goals and away team goals, so we created our label accordingly – 1 if home team goals - away team goals > 0, 0 otherwise.
Researchers have used many different machine learning algorithms to predict sports outcomes. We will use three models in this project:
Logistic regression models not only can be used for win/loss classification, but also give confidence in the model’s decision. A random forest approach achieved an impressive 83% accuracy, and other random forest or decision tree models also outperformed regression based models (Wilkens, 2021). Lastly, artificial neural networks have shown strong results and require less preprocessing on inputs than other models (Hubáček et al., 2019).
We have trained our models on our various feature sets defined in the data collection. Each time we train the model, we perform a random sampling to generate our train dataset and test dataset. Our logistic regression models utilized a 90% train / 10% test split on the Match data table. The main data table contains ~26000 data points, so a 90% train / 10% split would result in ~23400 training records and ~2600 testing records. We handled missing values by dropping rows containing them, so our resulting training data would have less entries.
We trained various logistic regression models on three different sets of features: betting odds, match based matchup features, and player based matchup features. We used Scikit-Learn’s Logistic Regression Model instance using Newton-Cholesky and Saga solvers to optimize the parameters (scikit-learn developers, 2014).
For the betting odds and team attribute based features, the following methodology was used as a baseline:
The feature importance was evaluated using Permutation Feature Importance. The permutation feature importance metric randomly shuffles individual features one-by-one and measures the variation in the evaluation score. The features with higher variation are more important, while features with lower variation are less important (scikit-learn developers, n.d.). Additional steps were performed in some other sections.
We trained Random Forest models also on different sets of features: betting odds, team attributes, and build up stats. We used Scikit_Learn’s Random Forest Model instance to be able to predict outcomes of matches based on these different features.
This is the main process we followed to obtain a measurement of the likelihood of the home team winning: Generate features Perform train/test split Train model using the training dataset Obtain accuracy/score Optimize Hyperparameters Determine most important features and test model using just those features For betting odds and team attributes, we were able to prevent overfitting of the data by fine tuning the hyperparameters such as a depth limit and a limit to n_estimators in an attempt to increase the accuracy of the trees.
Lastly, we trained the neural network model on similar features: betting odds, team attributes, and player attributes. We used Scikit_Learn’s MLPClassifier instane to be able to predict the outcome of matches based on these different features. We used the same process to be able to obtain a score regarding the accuracy of the neural network.
As a rule of thumb, we will target 60% accuracy for rankings, as there is a very high degree of unpredictability in sports due to the obvious human factor. We shoot for a “more likely than not” heuristic for our predictions, which would give the model’s user an edge in closer matchups. For example, any rational fan of the beautiful game would predict with near 100% accuracy that a 2008-2009 season Barcelona FC squad would defeat a bottom-of-the-table 2023 MLS team. ML predictions are more valuable in the contentious matchups.
On initial training with all 30 features (home win, away win, draw odds from 10 providers), the following results were yielded:
| Metric | Value |
|---|---|
| Train Error | 0.35403 |
| Test Error | 0.30435 |
The error was calculated by using the Jaccard similarity of the predicted labels and actual labels using the training and testing data as the accuracy metric. The Jaccard similarity was chosen because of the uniform nature of the actual labels in the binary classification problem – approximately 45% of the games in the Match dataset have a label of home_team_win = 1. The Jaccard similarity, $J$, is defined as follows for the two sets of actual and predicted labels, $Y$ and $\hat Y$ respectively:
\[J(Y, \hat Y) = \frac{|Y \cap \hat Y|}{|Y \cup \hat Y|}\]So, the error is computed as $\texttt{error} = 1 - J(Y, \hat Y)$. Now, the following are the top 10 features by mean permutation importance in the model.

This clues us in to which betting odds providers give more valuable odds when it comes to predicting sports outcomes, and in a way can tell a user which provider to trust. When retraining the logistic using the top $k$ features by importance, we see the following train/test error.

We see that a logistic regression model performs the best when choosing the top 3 or 4 models as it minimizes the test error. Picking the top three features (SJA, B365H, VCD) we get a Jaccard similarity on testing data of 0.707, or 70.7% accuracy in predicting match outcomes! Our RMSE is 0.2935. Train/test error is fairly low, and accuracy is high, so there is good confidence in these results.
It was hypothesized that due to the similar train/test error that the model could be underfitting, so additional feature engineering was attempted through introducing polynomial features. Upon varying the highest degree, we visualized the errors:

The lowest train and test error are curiously seen at max degree 1, so polynomial features are not the best approach. Ultimately, we settle with a 70% accuracy predictor using logistic regression trained on betting odds data!
The team-based FIFA attributes are separated into three categories, which have three features each:
Initial training on all team-based attribute features yielded the following errors on training and testing data:
| Metric | Value |
|---|---|
| Train Error | 0.36822 |
| Test Error | 0.44886 |
This results in a Jaccard index accuracy on the test data of 0.5511, or around 55%, which is lower than the betting odds data. We again evaluate the top ten features by permutation importance and we get:

We see that attributes relating to defense and chance creation are much more valuable than build up speed. Performing the same error analysis by varying the top “k” features used in training yields the following plot:

There is much greater fluctuation in test error, although train error decreases sharply (by around 0.08) as more features are chosen. By retraining the model on the top ~25 features which minimizes test error, we get a slight decrease in test error (new error = 0.3625 from old error = 0.3682), a decrease of only 1.55%, which is not significant.
A more manual feature-selection approach was used to improve the accuracy of the model. Manually training the feature on each individual category yielded the following:
| Feature Category | Metric | Value |
|---|---|---|
| Build-up Play | RMSE on test | 0.42613636363636365 |
| Accuracy on test | 0.5738636363636364 | |
| Chance Creation | RMSE on test | 0.4090909090909091 |
| Accuracy on test | 0.5909090909090909 | |
| Defense | RMSE on test | 0.5113636363636364 |
| Accuracy on test | 0.48863636363636365 |
Chance creation seems to be the top performing category with a 59% accuracy, a good 4% increase from the previous accuracy score. However, we can do better using the important feature selection metrics. Sorting the chance creation aggregations by importance yields the following:

The error fluctuates with respect to the top number of features chosen as follows:

Test error is very clearly minimized using the top 6 features. Retraining the model using the top 6 most important features results in a Jaccard similarity of 0.6134, which tells us we have a 61% accurate logistic regression predictor based solely on the FIFA video game series team aggregate chance creation metrics! We are happy here because our 61% accuracy is sufficient based on our heuristics.
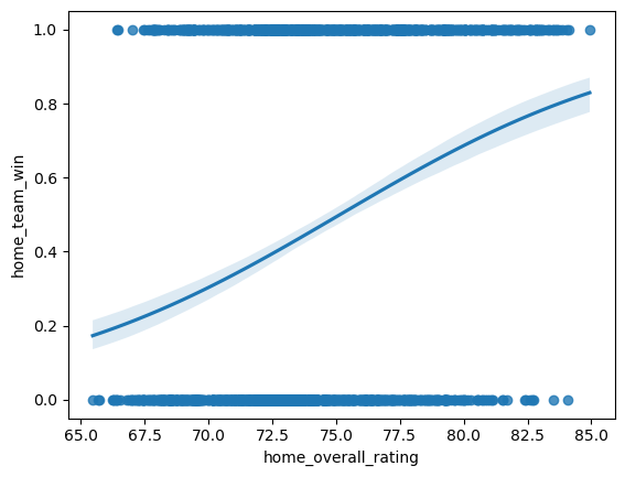
Here is a visualization plotting the top two features against the probability of the match being a home team win:

We see that lower probabilities (darker colors) tend towards the left end while higher probabilities (lighter colors) tend towards the right, which is what our logistic regression model is capturing.
Given our adoption of a binary approach to results (win vs. loss/draw), we deemed it most fitting to employ a logistic regression model for each of the features under examination. The focus of our analysis was on player-related attributes, specifically player height, weight, overall rating, and potential. To ensure the optimal representation of a team, we calculated the averages of these features per team. This approach was chosen with the expectation that it would yield the most accurate predictions for match outcomes.
While it’s plausible to argue for the impact of a “superstar” or players with exceptional talents who might “carry” the team, considering only the highest or top three (arbitrarily chosen) values for each feature, we opted against this approach. This decision was influenced by the already limited number of features and the observed subpar model performance, a matter we will address later on.
The outcomes of the individual features are detailed below:
| Height | Weight | Rating | Potential | |
|---|---|---|---|---|
| Estimator | 0.59887 | 0.59887 | 0.627118 | 0.632768 |
Subsequent to these findings, we pondered the notion that the disparity in features between the two teams might hold more significance. In practical terms, considering the height difference between two teams (e.g., 6’ players vs. 5’ players) could potentially have a more substantial impact than merely assessing the features at “face value” (which would overlook the nuances of a 6’ vs. 6’ scenario).

The outcomes for the differences in features are outlined below:
Surprisingly, the performance for height, weight, Δ height, and Δ weight were all identical—situated just under the 60% mark, which aligns with our 60% goal but leaves room for improvement. On the other hand, Δ Potential exhibited a performance increase, albeit marginal and practically negligible.
When first attempting to run a logistic regression model on all features (with no regularization) we ran into an issue where our model failed to converge as such we sought out to feature select and regularize our data. In our pursuit of addressing convergence issues, our initial focus centers on implementing feature selection/importance. Our hypothesis revolves around the notion that our model grapples with overfitting, driven by our intuition that multicollinearity, such as the relationship between height and weight, exists within the data. To remedy this, we meticulously considered various feature importance/selection methods, namely PCA, Ridge Regression, and LASSO. After careful deliberation, we opted for Lasso, and here’s the rationale behind our decision-making process for each method.
PCA’s principal function lies in dimensionality reduction, assuming the features exhibit a normal distribution of statistical independence. However, given our suspicion of significant collinearity among features, particularly evident with our dataset, we steered away from PCA. This led us to regression models, designed to curtail variance within the dataset while assigning weights to features.
Among the regression techniques, we favored LASSO (L1 regularizer) over Ridge (L2 regularizer). LASSO’s propensity to potentially reduce certain features to an importance of 0, effectively removing them, aligns with our aim in identifying interrelated features. Moreover, the robustness of L1 regularization against outliers, a prevalent issue, especially within sports analytics, solidifies LASSO as the optimal choice amidst these considerations.

After applying LASSO regularization, the following is the performance of our logistic regression model.
| $\Delta$ Height | $\Delta$ Weight | $\Delta$ Rating | $\Delta$ Potential | All Features | |
|---|---|---|---|---|---|
| Estimator | 0.59887 | 0.59887 | 0.610169 | 0.638418 | 0.6799 |
After feature reduction, the logistic regression based solely on betting odds outperformed even the model utilizing all available features. This outcome prompts an important inquiry: why does our model display inferior performance as more features are incorporated, particularly given our use of L1 regularization across all features?
Two potential explanations have emerged. Firstly, the issue of overfitting due to inherent multicollinearity cannot be discounted. It’s plausible that the metrics employed by betting companies mirror those in our model, inadvertently introducing duplicative data and features, leading to overfitting. This unexpected redundancy might undermine the model’s predictive capacity.
Alternatively, the complexity and unpredictable nature of sports itself might be the culprit. Numerous immeasurable factors, such as athlete mindset, remain beyond our quantifiable scope. Betting odds, drawing from a wider range of sources and possibly encapsulating such intangible elements, might inherently possess an edge in accounting for these unquantifiable variables, enabling them to better forecast outcomes.
On initial training with all 30 features (home win, away win, draw odds from 10 providers), we found that the raw accuracy of the Random Forest Classifier was roughly 63%, however it varied anywhere from 60% to 65%. We then used RandomizedSearchCV from sklearn in order to identify the optimal max depth and number of trees in each forest. This not only allowed for greater testing accuracy by increasing the number of trees from the default of 100 to roughly 400, but also decreased the overfitting which was being caused by there being no maximum depth. This led the training accuracy to drop from 100 to around 75, but the test accuracy jumped up to being consistently in the mid 60s (65-67). From these results we created a basic confusion matrix to break down the Random Forests ability to classify True Positives and True Negatives. In the matrix below, the accuracy was .670, the precision was 0.6758, and the recall was .50.

We then found the most important features for the RandomForestClassifier using the feature_importances_ attribute of the RandomForestClassifier.

Based on this chart, we decided to test two more times using the top 4 and the top 10 most important features as there seemed to be notable dropoffs in importance after VCH and IWH. When we reran the RandomForestClassifier using just the 4 most important features, we found that the performance remained about the same or marginally worse averaging 65-66% accuracy, however, when running in on the 10 most important features, we found that it actually made the model slightly more successful, hitting 67-68% accuracy consistently.
Initially, when using all team attribute features such as build up, chance creation stats, and defense stats, we found that the accuracy was around 57%, ranging from 55% to 60%. However, after fine tuning the parameters such as depth limit and n estimators (the number of trees used), the accuracy increased to be around 59%. As we did in betting odds features, we also used RandomizedSearchCV to determine these features. Through RandomizedSearchCV, we were able to increase the number of trees used to be around 334 and limit the depth to 10, allowing the random forest to result in more accurate predictions.
After running the model on all the team attribute features, we tried running the model on specific team attributes individually. After running the random forest model on just the build up stats, we had an accuracy of around 55%, but it ranged from 55% to 60%. When we ran the model on just the chance creation stats, we had an accuracy of around 56%, but it ranged from 55% to 60%. And when we ran the model on just the defense stats, we had an accuracy of around 52%, but it ranged from 50% to 55%. We then attempted to optimize our results more through hyper parameter fine tuning on the build up features and the best k features combined and by running the model on just the most important k features for each category. As with finding the most features with the betting odds, using the feature_importances_attribute of the RandomForestClassifier. When we optimized the model to train the random forest by running on the top three features of each category (defense, build up, and chance creation), we had an accuracy of around 62%, but it ranged from 55% to 62%. After hyperparameter fine tuning, we achieved an average accuracy of 60%
Here are the “most important” features chosen that were used for the last optimized random forest model:

After finishing our feature extractor for the dataset, we returned to our random forest model to see if a combination of previous match results, team attributes, and player attributes could outperform the odds based predictor. After running and tuning our model, we were able to achieve an accuracy of 68%, outperforming any previous random forest model and demonstrating that from previous match data and Fifa attributes alone, we could better perdict the outcome of matches than from betting odds alone.
Below are the feature importance for this new combined feature mode:

Here is a summary of our findings in this section:
| Attributes | Metric Used | Before HyperParameter Tuning | After HyperParameter Tuning |
|---|---|---|---|
| Betting Odds | Accuracy Score | 63% | 66% |
| Team Attributes | Accuracy Score | 57% | 59% |
| Buildup | Accuracy Score | 50.7% | 56% |
| Combined | Accuracy Score | N/A | 68% |
On initial training of the neural network with all 30 betting odd providers, an accuracy of around 66% was achieved. Upon optimizing the hyperparameters of the neural network using GraphSearchCV to find the most optimal combination of size for the hidden layers, activation function out of ‘tanh’ and ‘relu’, solver for training the network, regularization term, and learning rated, the accuracy remained around the same at around 66%. However, after finding the top three most important betting odd providers, our average accuracy increased to around 68%. After training the neural network with the betting odd providers, it was trained using the team attributes. When the model was trained just on the data from the team attributes, its test set score was around 52%. It makes sense that the team attributes would not be good data to use to train the model because many of the team attributes had negative importances when the permutation importance of the different team attributes were graphed for the neural network. The team attributes data was merely providing busy noise to the model. There was also extreme overfitting (with the training set score being 70%) due to there being no limit to the hidden layer sizes. However, after adjusting the hyperparameters of the neural network, the score increased to around 60%.
Similar to with the Random Forest models, when combining team results, team attributes, and player attributes together, the Neural Network model was able to achieve a higher accuracy than with better odds alone or any individual part of the dataset (68% accuracy). We used model hyperparameter tuning to find a model that did not overfit to training data and to find good training hyperparameters like learning rate that allowed for smooth, continuous, and fast training.
| Attributes | Metric Used | Before HyperParameter Tuning | After HyperParameter Tuning |
|---|---|---|---|
| Betting Odds | Accuracy Score | 66% | 66% |
| Team Attributes | Accuracy Score | 52% | 60% |

Lastly, the model was trained using data about the player attributes. By averaging the weight, height, overall rating, and potential for each team, we were able to train the model using different sets of player attributes. Height and weight turned out to not be sets of data for training the model, as they achieved scores around 53%. When training the model merely with all the ratings and potentials, the scores were also around 55%. However, we decided to train the model using data on the differences in potential and rating between different teams playing against each other, and the model achieved a score of 65% when trained on this data. After hyperparameter fine tuning, the score remained around 65% for potential and rating. Based on these results, we can conclude that the difference in rating or potential in players of teams is a good indicator for predicting the results of a game.
| Height | Weight | Rating | Potential | |
|---|---|---|---|---|
| Estimator | 0.5319 | 0.5319 | 0.5543 | 0.5864 |
Before Hyperparamater fine tuning:
| Height_differences | Weight_differenes | Rating_differences | Potential_differences | |
|---|---|---|---|---|
| Estimator | 0.5319 | 0.5319 | 0.6463 | 0.6344 |
After Hyperparamater fine tuning:
| Rating_differences | Potential_differences | |
|---|---|---|
| Estimator | 0.6515 | 0.6431 |
Lastly, we again retrained our Neural Network model with the combined features using our feature extractor. We ultilized cross-validation to tune various model hyperparameters like hidden layer sizes and activation functions and training hyperparameters such as learning rate and number of epochs. After hyperparameter tuning, we were able to create a Neural Network model that achieved a 68% accuracy using the combined features of previous match results, team attributes, and player attributes. This outperformed any of the previous Neural Network based models and achieved a similar accuracy to our combined features Random Forest Model.
The training curves for this model are below:

| Training Loss | Test Loss | Test Accuracy | |
|---|---|---|---|
| Estimator | 0.5850 | 0.5890 | 0.6757 |
To conclude, we see the following sufficiently accurate (>60% accuracy) models:
On betting odds data, the logistic regression model outperformed all others, with a 70% accuracy. On all other features, a decision tree model reached a 69% accuracy, while a neural network model reached 68% accuracy.
To compare the models themselves, although the logistic regression model performs relatively well overall, it is more sensitive to outliers. Random forests and neural networks, although more computationally intensive, capture better match predictions. Feature extraction and exploration was an important part of this project, and this is an area where the neural network model excels. Unfortunately, a neural net is prone to overfitting.
Ultimately, the most significant result is the random forest reaching a 69% accuracy, higher than most betting odds training. This model is likely the strongest when it comes to creating our own betting spreads and odds.
A potential next step for future researchers is investigating how to use the models we built to develop specific spreads and betting odds on matches using the player and team attribute models, and to evaluate their performance against the database betting odds. One way to achieve this would be to perform multi-class classification using cross entropy as the loss function. Then, using the logit, extract probabilities of win/loss/tie, and use the magnitude of each to compute specific spreads using a heuristic, evaluated by trial/error or other metrics.
See link above
| Name | Contribution to Midterm |
|---|---|
| Daniel | Logistic Regression (historical features) |
| Elijah | Random Forest (betting odds) |
| Sabina | Random Forest (team attributes), neural network |
| Xander | Logistic Regression (regularization) |
| Matthew | Random Forest, Database Feature Extraction, neural network |
Horvat, T., & Job, J. (2020). The use of machine learning in sport outcome prediction: A review. WIREs Data Mining and Knowledge Discovery, 10(5). https://doi.org/10.1002/widm.1380
Hubáček, O., Šourek, G., & Železný, F. (2019). Exploiting sports-betting market using machine learning. International Journal of Forecasting, 35(2), 783–796. https://doi.org/10.1016/j.ijforecast.2019.01.001
scikit-learn developers. (n.d.). 4.2. Permutation feature importance — scikit-learn 0.23.1 documentation. Scikit-Learn.org. https://scikit-learn.org/stable/modules/permutation_importance.html
scikit-learn developers. (2014). sklearn.linear_model.LogisticRegression — scikit-learn 0.21.2 documentation. Scikit-Learn.org. https://scikit-learn.org/stable/modules/generated/sklearn.linear_model.LogisticRegression.html
Terrell, E. (2022). Research Guides: Sports Industry: A Research Guide: Soccer. Guides.loc.gov. https://guides.loc.gov/sports-industry/soccer
Wilkens, S. (2021). Sports prediction and betting models in the machine learning age: The case of tennis. Journal of Sports Analytics, 7(2), 1–19. https://doi.org/10.3233/jsa-200463